|
.
А.І. Сомсіков
Визначення сили і маси
У фізиці сенс кожної знову вводиться величини, крім початкових, вважається з'ясованим в тому випадку, коли знайдено рівняння, в якому ця величина виражається через раніше введені, початкові ж величини не виводяться.
Наприклад, швидкість визначається як відношення пройденого шляху до часу, протягом якого шлях пройдено (шлях і час - початкові поняття, що не піддаються подальшому розкладанню); прискорення є відношення величини зміни швидкості до часу, протягом якого відбулася зміна; робота є твір сили на пройдений шлях; потужність є відношення роботи до проміжку часу, протягом якого вона відбувалася і т.д.
Не всі величини, однак, мають настільки ясно певний фізичний зміст і, перш за все, дві фундаментальні величини класичної механіки - сила і маса.
Причина полягає в тому, що Ньютон ввів одночасно обидві ці величини в одному рівнянні другого закону механіки, внаслідок чого одна невідома величина - сила визначалася через іншу невідому - масу і навпаки.
Логічне коло може бути подолана шляхом додавання другого рівняння, що містить ті ж невідомі, вилучення одного з невідомих і вирази другий невідомої через відомі.
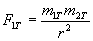
Відсутня рівняння було також дано Ньютоном (закон всесвітнього тяжіння для нерухомих і повільно рухаються щодо швидкості світла тел), так що повна система двох рівнянь є:
,
.
Для того щоб з'ясувати фізичний зміст вхідних величин і , Потрібно, як сказано, вирішити цю систему.
Отже, нехай сила, що викликає прискорене рух тіла з масою , Є силою тяжіння:
.
після скорочення отримаємо: .
Звідки: .
поклавши тепер  , Приходимо до наступного визначення маси: .
Масою тіла називається твір прискорення, що купується іншим тілом, що знаходиться на заданій відстані від нього, на квадрат відстані між тілами.
З формули видно, що можливо як скалярний, так і векторний тлумачення маси:
.
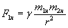
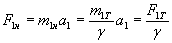
Другий закон механіки є феноменологічним визначенням сили (якщо покласти ):
.
Сила є твір прискорень взаємодіючих тіл на квадрат відстані між тілами.
З визначення випливає, що правильно говорити "сила тел" замість "сила, прикладена до тіла", тому що сила не є самостійною сутністю, що може бути доданою, але лише зазначеним вище твором.
Повна система рівнянь ньютоновой динаміки складається з 4-х рівнянь:

,
,
,
і містить 4 невідомих - , , , .
Вирішення цієї системи є:
,
,
.
Зауважимо, що відсутність або зміна будь-якого з наведених рівнянь робить в першому випадку неможливим однозначне визначення сили і маси, тому що при цьому залишається 3 рівняння з 4-ма невідомими, а в другому рівносильно повної зміни сенсу і .
А тому, якщо де-небудь рівність , Наприклад, замінюється рівністю , ( ), То тут слід почати з того, що невідомо, що таке і , І те, що позначено колишньої буквою, є абсолютно новим поняттям.
Система відліку
Система відліку СО, в якій вимірюються прискорення , , Носить найменування інерціальній системи відліку (ІСО).
Основною властивістю ІСО є незалежність прискорення тіла 1 від самого цього тіла (сталість маси тіла 2 при зміні тіла 1), точно так же прискорення тіла 2 не залежить від самого тіла 2 (сталість маси тіла 1 при зміні тіла 2).
Це означає, що в ІСО приріст прискорення зі зміною тіла 1 відноситься кожен раз до тіла 2, відповідно зі зміною тіла 2 вважається такою, що до тіла 1.
Іншими словами, зі зміною тіла 1 прискорення системи відліку щодо тіла 1 не змінюється (система відліку залишається колишньою), точно так же зі зміною тіла 2 прискорення системи відліку щодо тіла 2 не змінюється.
Звідси випливає, що для будь-якої пари 1 ', 2' ІСО залишається тією ж самою, що і для 1, 2.
Справді, довільну пару 1 ', 2' можна отримати із заданої пари 1, 2 шляхом послідовної заміни спочатку тіла 1 на тіло 1 ', при цьому відносно 1' ІСО рухається з колишнім прискоренням , Тобто не змінюється, а прискорення тіла 2 вимірюється в цій же системі відліку; потім тіла 2 на тіло 2 ', при цьому щодо 2' ІСО рухається з колишнім прискоренням (не змінюється), а прискорення тіла 1 'вимірюється щодо цієї ж системи відліку.
У підсумку, прискорення тел 1 ', 2' вимірюються щодо тієї ж системи відліку, що і прискорення тел 1, 2, з точністю до будь-якої іншої системи, що рухається відносно першої без прискорення.
В ІСО прискорення тіла 1 і пов'язаної з ним системи відліку СО1 одно , Відповідно прискорення тіла 2 і системи СО2 - .
У СО1 прискорення ІСО одно мінус , А прискорення СО2 одно: .
Приєднаємо до тіла 1 деяке тіло 3.
При цьому прискорення СО2 в ІСО стає рівним ( від додавання тіла 3 не змінюється).
У СО1 прискорення СО2 стає рівним .
Таким чином, приріст від додавання тіла 3 в ІСО і в СО1 має однакову величину і, отже, його можна визначити вимірюванням в СО1.
Але це збільшення в ІСО однозначно визначає масу тіла 3!
Зауважимо, що як тільки знайдена маса хоча б одного з тіл (в даному випадку - тіла 3), маси всіх інших тіл знаходяться легко, для чого слід послідовно поміщати досліджувані тіла на заданому відстані від тіла 3 і вимірювати прискорення досліджуваних тел щодо тіла 3.
При цьому отримаємо: ,
де - прискорення i-го тіла щодо тіла 3,
- прискорення i-го тіла щодо ІСО,
- прискорення тіла 3 щодо ІСО.
Звідки: ,
,
де - маса i-го тіла.
Вищесказане є аналізом історично даного матеріалу.
Правильний порядок побудови феноменологічної теорії динаміки наступний.
початок побудови
Геометричне порівняння тел здійснюється шляхом порівняння їх розмірів; у фізиці тіла порівнюють по їх рухам, при цьому характеристики рухів служать характеристиками тел.
Дослідним шляхом встановлено, що тіла, що можуть вільно переміщатися один щодо одного, мимовільно починають рухатися (взаємодіють), причому в системі відліку, пов'язаної з тілом 1 (СО1) тіло 2 набуває прискорення , Залежне від тіла 1 (відповідно в СО2 тіло 1 має прискорення , де ).
Однак це прискорення ще не може служити характеристикою тіла 1 перш за все тому, що це величина неоднозначна, а залежить ще і від відстані: ~ .
Величиною, що не залежить від відстані, є твір: .
Однак і ця величина ще не може служити характеристикою тіла 1, тому що вона залежить не тільки від тіла 1, але і від тіла 2, іншими словами зі зміною тіла 2 прискорення змінюється:
.
Зробити це прискорення не залежних від тіла 2 можна шляхом переходу до іншої системи відліку (названої інерціальній СО або ІСО), що рухається прискорено щодо СО1 (самого тіла 1) з деяким прискоренням .
Знайти ІСО значить визначити , знаючи .
Нехай дано тіло 1 спільно з його системою відліку СО1 і тіло 2.
У СО1 прискорення тіла 2 одно .
У шуканої ІСО прискорення тел 1, 2 складають: , .
При цьому: .
Нерухомо приєднаємо до тіла 1 деяке тіло 3.
У шуканої ІСО спільне прискорення тел (1 + 3) не залежить від тіла 1 і складає, як і раніше .
Прискорення тіла 2 рівні тепер: в ІСО - , В СО1 - .
При цьому: .
нехай: .
маємо: , Тобто зміни прискорень тіла 2 в СО1 і в ІСО однакові, рівні і можуть бути знайдені вимірами в СО1.
Приберемо тепер тіло 1.
У шуканої ІСО прискорення що залишився тіла 3 не зміниться і складає, як і раніше .
Прискорення тіла 2 рівні тепер: в ІСО - , В СО1 - .
При цьому: .
обидва прискорення і зміняться в порівнянні з , на однакову величину, рівну :
,
.
знаючи і , Знайдемо тепер :
.
знаючи , знайдемо :
.
при заданому прискорення тепер уже не залежить від тіла 2, а залежить тільки від тіла 1.
У свою чергу твір вже не залежить ні від тіла 2, ні від відстані і тому може служити однозначною характеристикою тіла 1.
Ця характеристика отримала найменування маси:
.
Вибір ІСО, не пов'язаної ні з одним з взаємодіючих тіл, що рухається прискорено щодо кожного з тіл і до того ж з різними прискореннями пояснюється саме тим, що при цьому досягається однозначність характеристик кожного з взаємодіючих тіл.
коефіцієнти
Вихідні формули при побудові систем одиниць динаміки Ньютона наступні: ,
.
В системі одиниць, запропонованої В. Томпсоном, обидва коефіцієнта приймаються рівними одиниці:
,

при цьому сам еталон маси виявляється цілком певним (~ 15 т, при одиниці довжини - див і одиниці часу - с).
Покажемо, як з'являються коефіцієнти у формулах Ньютона у випадку, якщо еталон маси вибирається довільно.
Нехай, наприклад, новий еталон маси становить томсонових еталонів (g має довільне, відмінне від одиниці числове значення).
тоді: .
В системі одиниць типу "динамічної" :
.
оскільки: , і , ,
то отримуємо: або , звідки .
В системі одиниць типу "гравітаційної" :
.
Другий закон Ньютона: в новій системі одиниць:
або звідки: .
В окремому випадку, коли коефіцієнт в точності дорівнює "гравітаційної постійної", ми отримуємо власне гравітаційну і власне динамічну системи одиниць.
Якщо новий еталон маси, вимірюваний в частках від томсонова еталона маси, зберігає колишню розмірність [см3 / c2], то коефіцієнт є число, що показує у скільки разів новий еталон більше або менше томсонова еталона.
Якщо ж новому стандарту дано і нову назву (наприклад, грам), то коефіцієнт набуває розмірність:
.
Отже, гравітаційна і динамічна постійні з'являються внаслідок довільності вибору еталона маси при побудові систем одиниць вимірювання і не мають власного фізичного сенсу.
Випадок великих швидкостей
Якщо вважати встановленим існування граничної відносної швидкості переміщення взаємодіючих тіл, при наближенні до якої їх прискорення прагнуть до нуля за формулами:
, ( при ),
де - прискорення при відносних швидкостях , Багато менших швидкості світла , То і сила взаємодії
, ( при ).
Взагалі кажучи, може означати або за формулою , або за формулою , оскільки .
Математично обидва варіанти рівноцінні.
Однак фізично неможливо, тому що це означає , Тобто і , Що виключається, оскільки при .
Тому ми і говоримо, що означає саме .
Крім того, оскільки , означає також :
.
При наближенні до граничної швидкості маса кожного з взаємодіючих тіл прагне до нуля.
Маса одного і того ж тіла дорівнює нулю для тіл, які досягли граничної відносної швидкості і не дорівнює нулю для тіл, які не досягли граничної відносної швидкості, іншими словами значення маси є відносною величиною.
визначення заряду
Закон Кулона: .
За визначенням: , де - прискорення, що набувають
взаємодіючими тілами (в ІСО).
Звідки: або .
поклавши тепер , Отримаємо:
,
,
іншими словами поняття "заряду" тотожне поняттю маси.
Далі: F = a1 a2 r2 = a1 q1 = a2q2, - другий закон Ньютона в області електростатики.
За визначенням, напруженість електростатичного поля є прискорення, що купується пробним тілом.
Векторне тлумачення заряду: .
потенційність поля
Якщо в напрямку дії поля пробне тіло рухається з граничною відносною швидкістю , То його сила і робота .
Якщо в зворотному напрямку той же шлях проходиться з відносною швидкістю меншою граничної, то тоді , Відповідно і робота має кінцеве значення.
Сумарна робота по замкнутому шляху виявляється не дорівнює нулю.
Потенційність поля, що встановлюється за ознакою рівності нулю роботи при переміщенні пробного тіла по замкнутому шляху, порушується в загальному випадку, що включає граничну відносну швидкість переміщень.
Перехід від ІСО до СО1
Перенесемо тепер тіло 2 з СО2 в СО1, нерухомо приєднавши його до тіла 1.
В ІСО до перенесення тіла 2: , , , .
У СО1 до перенесення тіла 2:
,
.
В ІСО після перенесення тіла 2:
, , , .
При цьому означає: .
У СО1 після перенесення тіла 2:
,

оскільки , , То, отже,
.
Тому перехід від ІСО до СО1 рівнозначний переносу в цю СО1 тіла 2, що супроводжується підсумовуванням мас , А також переносу в СО1 самої ІСО.
І назад, перехід від СО1 до ІСО рівнозначний виділенню з тіла 1, що знаходиться в СО1, деякого тіла 2 з масою .
Після перенесення тіла 2 в СО1 спільна маса тіл, що знаходяться в СО1: .
Отже, для тіла, що знаходиться в СО1, маса тіла може бути знайдена вимірами в самій СО1, при використанні в процесі вимірювань тіла нескінченно малої (не обурюються) маси (Пробного тіла).
Взаємодія тіл з суттєво різними масами
В окремому випадку взаємодії маса тіла 2 може бути багато менше маси тіла 1: , що означає: або .
Виконаємо перехід від ІСО до СО1 для даного випадку.
В ІСО до переходу до СО1 (перенесення тіла 2 в СО1):
, , , , , .
У СО1 до перенесення тіла 2:
,
.
зважаючи на крихту щодо маємо:
,
.
В ІСО після переходу до СО1, відповідного переносу в СО1 тіла 2 з масою : , , , .
зважаючи на крихту щодо і щодо , Маємо: , , , .
У СО1 після перенесення в неї тіла 2:  , ,
тобто приєднання тіла 2 малої маси до тіла 1 великої маси не змінює масу тіла 1 і прискорення , Що купується тілом нескінченно малої маси щодо СО1.
експеримент Галілея
Саме такий випадок виявлений в експерименті Галілея, "спростували" теза Аристотеля про нерівність прискорень тіл, що володіють різними масами.
Експеримент, виконаний в СО1, де тіло 1 - Земля (об'єкт з дуже великою масою ), Тіло 2 - будь-який об'єкт з малою масою , Показав, що в межах точності вимірювань прискорення тіла 2 не залежить від маси .
Справді, при приєднання маси до маси , Що задає перехід від ІСО до СО1, через малість практично не змінює , Тобто прискорення , Що купується "галілеївсько" пробним тілом нехтує малої маси щодо тіла великої маси дійсно не залежить від .
Отже, результат Галілея відноситься до окремого випадку взаємодії тіл з суттєво нерівними масами.
Він встановлює фактично спосіб визначення СО1 як місцевої ІСО щодо деяких, цілком визначених для даної СО1 і даної точності вимірювань галілеївських об'єктів за допомогою самих цих об'єктів.
Його висновок такий: "Даний експеримент встановлює, що для даних галілеївських об'єктів дане небесне тіло є тілом досить великої маси , Щоб його СО1 для даних галілеївських об'єктів і при даній точності вимірювань могла бути прийнята в якості місцевої ІСО ".
Для тіла 1 з малою масою або тіла 2 з великою масою він би отримав інший результат, щоб констатувати в свою чергу: "Експеримент встановлює, що для даних об'єктів дана СО1 з точністю, яка визначається точністю вимірювань, не може вважатися місцевої ІСО" або інакше: "Дані об'єкти щодо ІСО = СО1 з точністю, яка визначається точністю вимірювань, не можуть вважатися галілеївсько об'єктами, що мають нескінченно малу масу щодо ".
Подивимося тепер, як виглядає експеримент Галілея в загальному випадку, спочатку для довільної маси , Потім для довільної маси .
Визначимо попередньо необхідні умови проведення експерименту.
Нехай ми бажаємо спостерігати падіння тіла 2 'великої маси в два рази швидше падіння тіла 2 "галилеевской маси.
Це означає, що за час проходження тілом 2 'шляху (де - висота Пізанської вежі) тіло 2 "проходить шлях .
Тому в СО1, де тіло 1 - Земля (об'єкт багато більшої маси ) Тіла 2 'і 2 "мають різні прискорення , , причому .
Оскільки прискорення будь-якого тіла 2 в СО1 одно:
,
то маємо: для галилеевского об'єкта , .
Для шуканого об'єкта великої маси :
.
але .
отже , , Тобто .
Таким чином з'ясовується, що шуканий об'єкт 2 'великої маси і однаковою геометрії з галілеївсько об'єктом повинен мати масу , Рівну масі Землі (Очевидно при цьому, що кидати об'єкти 2 'і 2 "можна тільки по черзі, а після кидка тіла 2' прибирати його куди-небудь подалі, скажімо, за орбіту Місяця).
Тому отримане Галілеєм рівність прискорень є всього лише результат "вдало" обраних галілеївських об'єктів.
Оцінимо порядок величин, які намагався виявити Галілей.
нехай  , .
випередження тілом 2 'тіла 2 "в СО1 становить:
,
де , , Тобто .
при с,

Звідки .
Якщо тепер вибрати в якості тіла 1 тіло пренебрежимо малої маси , То при вимірах в СО1 галилеевский об'єкт масою дійсно має в 2 рази більшим прискоренням , В повній відповідності з "спростовуваних" положенням Аристотеля.
Для цього достатньо забезпечити при масі дробинки г і ядра кг масу Землі, разом з розташованої на ній Пізанської вежею і експериментатором-фізиком, рівну, скажімо, м
При цьому, однак, виникає нова трудність: при і маємо: .
При такому прискоренні шлях м буде пройдений за час , Рівне:
,
тобто уявний Галілей не доживе до кінця експерименту, а за час життя реального Галілея пройдена висота Пізанської вежі складе:

так що необхідна точність вимірювань все ще буде складати близько .
Якщо вважати, що така точність вимірювань не досяжна на практиці, то тим більше недосяжна точність вимірювання за програмою "Галілей" за час спостереження c, рівне часу спостереження реального Галілея:
.
При цьому експериментатор ризикує знову прийти до невірного висновку: "прискорення тіл не залежить від їх маси" і навіть в збільшеному вигляді "переміщення тіл не залежать від маси".
Отже, положення Аристотеля відноситься до іншого окремого випадку зворотного співвідношення мас при вимірах в СО1.
Фактично результат Аристотеля реалізується в самому експерименті Галілея при переході від СО1 до СО2, що утворює свого роду "інверсію" точки зору.
Таким чином, обидва положення: Аристотеля - "прискорення тіла пропорційно масі тіла" і Галілея - "прискорення тіла не залежить від маси тіла" дійсно відносяться до одного і того ж окремого випадку взаємодії тіл 1, 2 з істотно нерівними масами.
При цьому, однак, для результат Галілея реалізується в СО1, а результат Аристотеля - в СО2.
Обидва "взаємовиключні" положення виявляються вірними, відносяться до одного і того ж окремого випадку взаємодії і "підтверджуються" одним і тим же експериментом, але тільки лише в різних СО.
У загальному ж випадку вірним є положення Ньютона: "В ІСО, для даної пари 1, 2, прискорення об'єкта 2 не залежить від його маси ".
випадок Ньютона
Нехай тепер обидва тіла 1 і 2 мають не галілеївські великі маси.
Назвемо їх ньютоновскими об'єктами , :
,
,
де .
нехай, як і раніше , а .
тоді оскільки , Справедливо: .
З урахуванням: , , оскільки , При деяких обидва прискорення , , Весь час залишаючись при цьому .
При деякому порядку малості, що визначається заданою точністю вимірів, обидва прискорення досягають значень, прийнятих за нульові, причому досягає цього значення набагато раніше :
, , , .
Оскільки при цьому , То ІСО таким чином знову поєднується з СО1. Іншими словами при взаємодії тіл з ньютоновскими масами починаючи з деякого мінімального (Назвемо його мінімальним ньютоновским відстанню ) ІСО знову, як і в разі галилеевского об'єкта приводиться до СО1.
Отже, при взаємодії ньютоновского і галилеевского об'єктів :
, , , , , , ,
при будь-якому .
При взаємодії двох ньютоновских об'єктів , з істотно нерівними масами :
, , , , , , ,
тобто ні до будь-якому, а лише починаючи з деякого ньютоновского відстані , Що визначається заданою точністю обчислень.
визначимо тепер як функцію від заданого співвідношення мас , і заданої точності обчислень.
нехай , .
В ІСО прискорення тел 1, 2 складають:
,
.
Видно що і відрізняються від і тільки на величину , Тобто сама СО1 відрізняється від ІСО в межах .
якщо тепер (з огляду на ), То при певній точності обчислень нею можна знехтувати, тобто прийняти: , .
При цьому: , де - похибка наближення, яку вносить заміною істинної ІСО наближеною .
оскільки , Маємо: .
Звідки мінімальне ньютонівської відстань , Відповідне допустимої максимальної похибки наближення , Становить: .
Наприклад, в ньютонівської системі 1, 2, де тіло 1 - Земля, , Тіло 2 - Місяць, , , Маємо:
,
.
Приймемо тепер СО1 як наближеною ІСО.
отримаємо: , .
При цьому похибка наближення становить:
.
При заданій похибки наближення, наприклад, маємо:
.
оскільки реальне задовольняє заданій похибки наближення, прийняття СО1 як наближеною ІСО в даному випадку допустимо.
При меншому дозволяється за значенні похибки наближення, наприклад, мінімальне ньютонівської відстань для даної пари 1, 2 ньютоновских об'єктів становить вже , Що не забезпечується в реальному парі, тобто в даному випадку прийняття СО1 як наближеною ISO не допустимо.
Ньютоновский питання, зазвичай виражається приблизно так: "Чи є сила, що діє на відстані до Місяця, силою того ж роду, що і на поверхні Землі" або, в кілька уточненої формулюванні: "Чи є сила, що діє на ньютоновский" великий "об'єкт, що знаходиться на відстані до Місяця, силою того ж роду, що і діюча на галилеевский "малий" об'єкт, що знаходиться, взагалі кажучи, на будь-якій відстані, в тому числі і на відстані до Місяця ", в формі якнайкраще відповідає суті пошуків Ньютона, може виглядати ще й так: "чи є СО двох ньютоновских "великих" об'єктів, що знаходяться на ньютонівських "великих" відстанях один від одного, тієї ж самої, що і ІСО ньютоновского і галилеевского об'єктів, для яких при будь-якому (галілеївських або ньютоновском) відстані, де 1 - ньютоновский об'єкт? ".
Відповідь така:
"Так, якщо маса одного ньютоновского об'єкта багато більше маси іншого , А ньютонівської відстань задовольняє співвідношенню:
,
тобто досить велике, щоб, в межах точності обчислень, яка визначається допускаються похибками , Можна було прийняти , А саму ".
З зазначеної вище точністю саме такий випадок має місце в ньютонівських околицях Землі, що і дозволило самому Ньютону зрозуміти ту обставину, що взаємодія тел простягається на ньютонівські відстані.
Слід, однак, пам'ятати і інші можливі варіанти відповіді:
"Ні, якщо обидва ньютоновских об'єкта близькі один одному по масі , При будь-якій відстані між ними, крім , Коли обидва , Тобто взаємодія припиняється, внаслідок чого в якості місцевої ІСО може бути прийнята як СО1, так і СО2 ".
"Ні, якщо маси ньютоновских об'єктів задовольняють умові , Але ньютонівської відстань при заданій точності вимірювань, яка визначається , Задовольняє співвідношенню:
".
При наявності в ньютонівських околицях тіла 1 з масою не одного тіла 2, а безлічі тіл c масами місцева ІСО може бути знайдена окремо для кожної пари , .
Якщо при цьому тіло 1 маємо масу , То його СО1 з урахуванням і заданої точності наближення може бути прийнята в якості місцевої ІСО для кожної заданої пари.
При цьому СО1 є спільною наближеною ІСО системи, утвореної ньютоновскими взаємодіючими об'єктами.
система Коперника
Саме такий випадок виявлений в масштабі сонячної системи, де тіло 1 - Сонце, що і зафіксовано в геліоцентричної системи опису рухів небесних тіл.
Відкриття Коперника, до сих пір виражається в логічно суперечливою формі: "Планети обертаються навколо Сонця" (оскільки рух щодо і визначається обраної СО), в світлі законів Ньютона виглядає інакше: "Сонце є ньютоновским об'єктом, маса якого багато більше маси будь-якої планети, тому його СО1, з відомою похибкою наближення, може бути прийнята в якості спільної ІСО сонячної системи ".
Дійсно, для пари Сонце - Меркурій, , , :
, 
.
Для пари Сонце - Земля, де , , Аналогічні обчислення дають: , ; для пари Сонце-Юпітер, де , : , , і т.д.
Для трьох зазначених пар прийняття СО1 як наближеною місцевої ІСО супроводжується абсолютною похибкою .
При цьому відносна похибка для даної пари ньютоновских об'єктів становить: для пари Сонце-Меркурій: , Для пари Сонце-Земля ; для пари Сонце-Юпітер .
Однак як би не була мала вихідна похибка наближення, відповідна їй накопичена похибка, наприклад, при розрахунку поточного просторового положення ньютоновских об'єктів визначається тривалістю спостереження і через певний проміжок часу перевищить похибка визначення фактичного положення, що і виявиться у вигляді невідповідності розрахункового положення.
Тому справжня ІСО все ж не є СО1 і всі планети зовсім не "обертаються навколо Сонця", а разом з ним - навколо загального центру мас сонячної системи, як раз і утворює справжню ІСО.
А як це викладається в підручниках фізики?
В роботі [1] виявлено помилковість розуміння першого закону Ньютона (закону інерції), що визначає траєкторію інерційних рухів.
Подивимося тепер, як фізика розуміє ІСО. Наведемо лише один приклад, що відображає це розуміння.
Цитата:
"З визначення механічного руху як простого переміщення випливає, що це переміщення може відбуватися лише щодо будь-яких інших матеріальних тел. Тому для того, щоб отримати можливість характеризувати рух будь-якого тіла, перш за все слід домовитися, щодо якого іншого тіла (або групи нерухомих одна відносно іншої тел) ми будемо відраховувати переміщення даного тіла. Це тіло (або група тіл) утворює систему відліку. Таким чином, кожен рух має розглядатися щодо будь-якої певної системи відліку. У різних випадках система відліку може вибиратися різним чином, але виразно характеризувати дане рух ми можемо, тільки твердо вибравши систему відліку. Наприклад, кинувши який-небудь предмет, ми можемо розглядати його рух щодо кімнати; в цьому випадку систему відліку утворюють стіни, підлогу і інші частини кімнати. Ми можемо, однак, розглядати рух того ж тіла і щодо Сонця або будь-якої певної зірки, тільки ми повинні вперед точно домовитися, щодо чого саме ми розглядаємо рух нашого предмета "[2] (с. 17).
Тут ключова фраза "переміщення може відбуватися лише щодо будь-яких інших матеріальних тіл", а ключове слово "лише". Цим все сказано.
Іншими словами, рух щодо нематеріальної точки простору в цьому світогляді навіть не мислиться. І це сказано через 3 століття після Ньютона! Що означає все ще не відбулося розуміння сенсу ньютоновского перевороту. Не тільки самим Ньютоном, але, на жаль, і нашими сучасниками.
Ще цитата:
"Зупиняючись докладніше на першому законі Ньютона, треба поставити питання: щодо якої системи відліку (який координатної системи) встановлюється той спокій або то рівномірний і прямолінійний рух, про який йде мова в першому законі Ньютона. Сам Ньютон мав на увазі, що мова йде про деяке абсолютному русі в абсолютному просторі. Він писав: "Абсолютна простір по всій своїй суті, безвідносно до чого б то не було зовнішнього, залишається завжди однаковим і нерухомим ... Абсолютна рух є переміщення тіла з одного абсолютного його місця в інше". Така точка зору метафізічна і не відповідає дійсності. Властивості об'єктивно існуючого реального простору визначаються самою матерією. Положення тіл і їх рух, як ми вже підкреслювали, можуть бути визначені лише щодо інших матеріальних тіл; по відношенню до різних тіл одне і те ж тіло може рухатися по-різному.
Спостереження показують, що перший закон Ньютона справедливий не по відношенню до кожної системі відліку. Розглянемо кілька прикладів. Покладемо, що системою відліку є прямолінійно і рівномірно рухається вагон. Тоді, якщо відволіктися від струсів, перший закон Ньютона виконується: покояться щодо вагона тіла не приходять в рух без впливу на них з боку інших тіл і т.д. Але варто вагону почати загортати, гальмувати або прискорювати хід, як з'являться явні порушення першого закону Ньютона: покоїлися до того тіла можуть відхилитися або впасти без видимого впливу на них з боку оточуючих тел. Візьмемо в якості системи відліку земну кулю; в цьому випадку перший закон Ньютона виконується набагато точніше, ніж в разі рухомого вагона, де навіть при рівномірному русі позначається тряска, але і тут досить тонкі спостереження над деякими процесами (хитання маятників, поширення повітряних і океанських течій і т.д.) виявляють відхилення від першого закону Ньютона або, вірніше, від наслідків з нього. Але якщо ми виберемо в якості системи відліку геліоцентричну систему, початок якої вміщено на Сонце, а осі направлені на певні зірки, то в такому випадку перший закон Ньютона виконується практично цілком точно. Система відліку, по відношенню до якої виконаний перший закон Ньютона, носить назву інерціальній системи. Сам перший закон Ньютона іноді називається принципом інерції.
Як зазначено, інерційної системою практично цілком точно є геліоцентрична система; інерційної буде також і будь-яка система, що рухається щодо неї рівномірно і прямолінійно.
Будь-яка ж система, що має відносно однієї з інерційних систем прискорення, сама не буде інерційної "(там же, с. 45).
Відвернемося від обраного сумнівного прикладу прямолінійного руху, утвореного двома обертаннями - щодо центру Землі і разом з нею - щодо Сонця.
А також і від того, що є негативною рисою науки: ще не з'ясувавши до пуття, що це таке, відразу ж починати вести мову про різні його види. Стосовно до ІСО - міркувати про інших ІСО. Начебто тільки про них ще й залишилося щось там ще з'ясувати. Цим навмисно затуманюється питання про незнання сенсу самої ІСО, ІСО як такої. Хоча б однієї з них. Що і називається йти від питання.
У розглянутому прикладі цікаво прийняття вагона в якості ІСО.
Якби справа відбувалася в відкритому просторі, то це, взагалі кажучи, могло б бути допустимо. Якщо, наприклад, маса вагона 10 т, а маса тіла 1 кг і обидва вони представлені точкової тілами, розташованими на невеликій відстані один від одного (а зовсім не приміщенням малого тіла всередині великого, можливо, поблизу його центру мас). Тільки лише в цьому випадку ІСО з відомою точністю дійсно може бути представлена СО вагона. Але справа то в тому, що це відбувається зовсім не в відкритому просторі, а на поверхні Землі, роль якої повністю втрачена. Вона ж така, що ІСО є СО саме Землі. Якраз тому під час відсутності тертя висмикування вагона з-під тіла не змінює положення цього тіла в ІСО. Що і утворює переміщення тіла, що спочиває в ІСО, щодо вагона.
Так само невірно прийняття СО Сонця в якості ІСО.Сонце, звичайно, набагато масивніше Землі, але і відстань до нього настільки перевищує земний радіус, що створюване їм прискорення 0,6 см / с2 нехтує в порівнянні з прискоренням 980 см / с2, створюваним Землею.
Тут правильну відповідь може бути тільки один. ІСО в даному випадку є тільки СО Землі, що іменується також птолемеевской СО.
Обидва ці невірних затвердження залишаються непоміченими лише тому, що нікому і в голову не приходить подивитися на них уважніше, а не вполглаза.
Ось що ще в цьому тексті привертає увагу. Як ІСО приймається то Земля, а разом з нею, отже, і система Птолемея, начебто спростована Коперником, то Сонце і разом з ним система Коперника. При цьому залишається абсолютно незрозумілим, як і коли відбувається перехід від однієї системи до іншої. Оскільки перемогли коперниканцем найсуворіше табу навіть сама згадка про те, що "спростована" система Птолемей і досі щосили застосовується в масштабі Землі, досягаючи навіть Місяця. Притому що і сама система Коперника вірна лише для планет сонячної системи, а зовсім не для зірок, що взаємодіють з Сонцем. Або Галактики, де Сонце саме є такою ж "планетою". Не кажучи вже про атомарних або внутрішньоатомних рухах, в яких поняття ІСО і зовсім неясно. Тут навіть придумано ціле "пояснення": в такому масштабі закони класичної механіки вже чомусь не діють. Що просто означає: це покрито мороком туману.
І на закінчення
Птолемей і Коперник, будучи, ймовірно, сучасниками [3, 4], мали, по суті, однакову світогляд, властиве своєму часу. Чи прийняти Землю або ж Сонце в якості нерухомої СО в общем-то не суттєво.
Але навіть і сам Ньютон, фактично котрий улаштував принципово іншу ІСО, теж, звичайно, не розумів радикального значення її відкриття. Зрозуміло чому.
Перший з його законів просто невірний, а третій є всього лише визначенням фізичної величини сили. Четвертий же - закон всесвітнього тяжіння варто і зовсім особняком, без розуміння його тісному зв'язку з трьома іншими.
З їх сукупності випливає, що справжня ІСО зовсім не є нерухомою, а навпаки рухається, причому прискорено, щодо кожного з взаємодіючих тіл!
В цьому і полягає найбільше світоглядне відкриття, розуміння якого досі ще не досягнуто.
А "нерухомі" земна або навпаки сонячна СО - це всього лише окремі випадки "правильного" співвідношення взаємодіючих мас і просторового масштабу.
Птолемєєвськая система утворена частиною простору, що примикає до будь-якого матеріального об'єкта.
Вона є навіть у галілеївських об'єктів, хоча і вироджується в плівку нульової товщини, що покриває їх поверхню.
У ньютоновских об'єктів це вже не плівка, а навколишня їх сферична частина простору. З Птолемєєвськая радіусом R п, визначеним масою mн ньютоновского об'єкта. Розташованого в її центрі.
У масштабі Rп дію ньютоновских об'єктів на галілеївські об'єкти перевищує дію Сонця. Тому тут, як і раніше вірна система Птолемея. І в цьому масштабі вона ніколи не була і не може бути спростована ніякими Коперника.
І точно так само в коперниковской великому масштабі Rк (масштабі сонячної системи), де сонячний вплив перевищує вплив всіх інших ньютоновских об'єктів, із заданою точністю вірна система Коперника. І її теж не спростує і не може спростувати ніякої Птолемей. Але тільки за вирахуванням локальних частин простору, що примикають до самих ньютоновским об'єктів. Утворюють безліч птолемеевскую зон.
Іншими словами, система Коперника не є безперервною. Охоплюється нею простір нагадує головку сиру, що містить безліч планетарних "дірок" з центрами, утвореними ньютоновскими об'єктами. Внутрішній простір яких описується системами Птолемея, незалежними між собою.
В цьому і тільки цьому сенсі можна говорити про те, що система Коперника дійсно спростувала систему Птолемея. Помилково екстраполіруемую в надмірно великий для неї масштаб сонячної системи. Поблизу ж ньютоновских об'єктів система Птолемея анітрохи не постраждала, і можна навіть сказати, що в точності так само спростовує систему Коперника. Додамо, що система Птолемея утворена безліччю локальних фрагментів, що примикають до кожного ньютоновскому об'єкту. Обставина, можливо, і зовсім не помічається учасниками фізичних суперечок.
А в загальному випадку не праві обидва, тому що справжня ISO не є ні земний, ні сонячної СО.
Тому історична суперечка Птолемея-Коперника залишається завершеним до з'ясування діапазонів мас і просторового масштабу, в межах яких кожна з систем з відомою точністю є справедливою.
Це з'ясування ставить, нарешті, крапку в цьому тривалому і неадекватному історичній суперечці.
Список літератури
www.sciteclibrary.ru/rus/catalog/pages/8444.html.
С.Е.Фріш, А.В. Тіморева "Курс загальної фізики" Том I. Фізичні основи механіки. Видання шосте, виправлене. Державне видавництво техніко-теоретичної літератури, Москва, 1955.
Г.В. Носівський, А.Т. Фоменко "Реконструкція загальної історії. Дослідження 1999 - 2000 років, Нова хронологія "ФІД" Діловий експрес ", Москва, 2000, с. 378 -379.
Г.В. Носівський, А.Т. Фоменко "Введення в Нову Хронологію (Який зараз століття?)", Изд. "Крафт", Москва, 2001, с. 98.
|